當前位置:
首頁
>
政務公開
>
公示公告
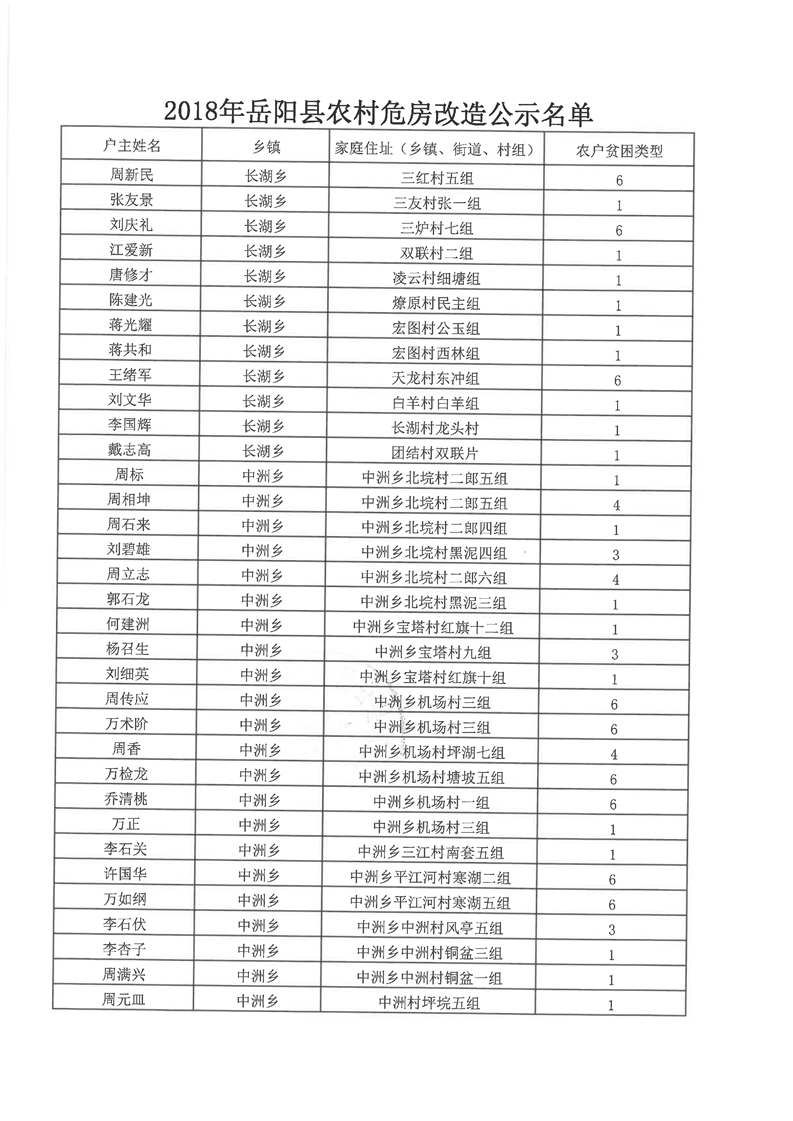
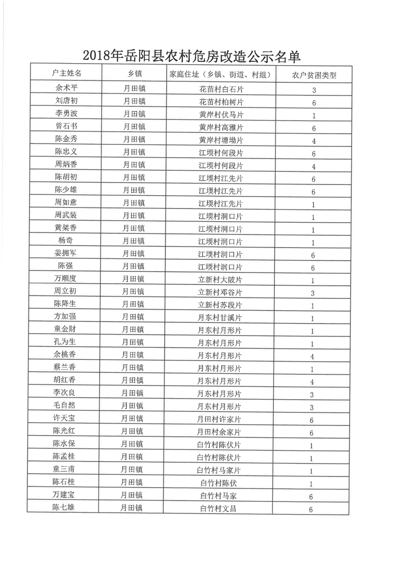
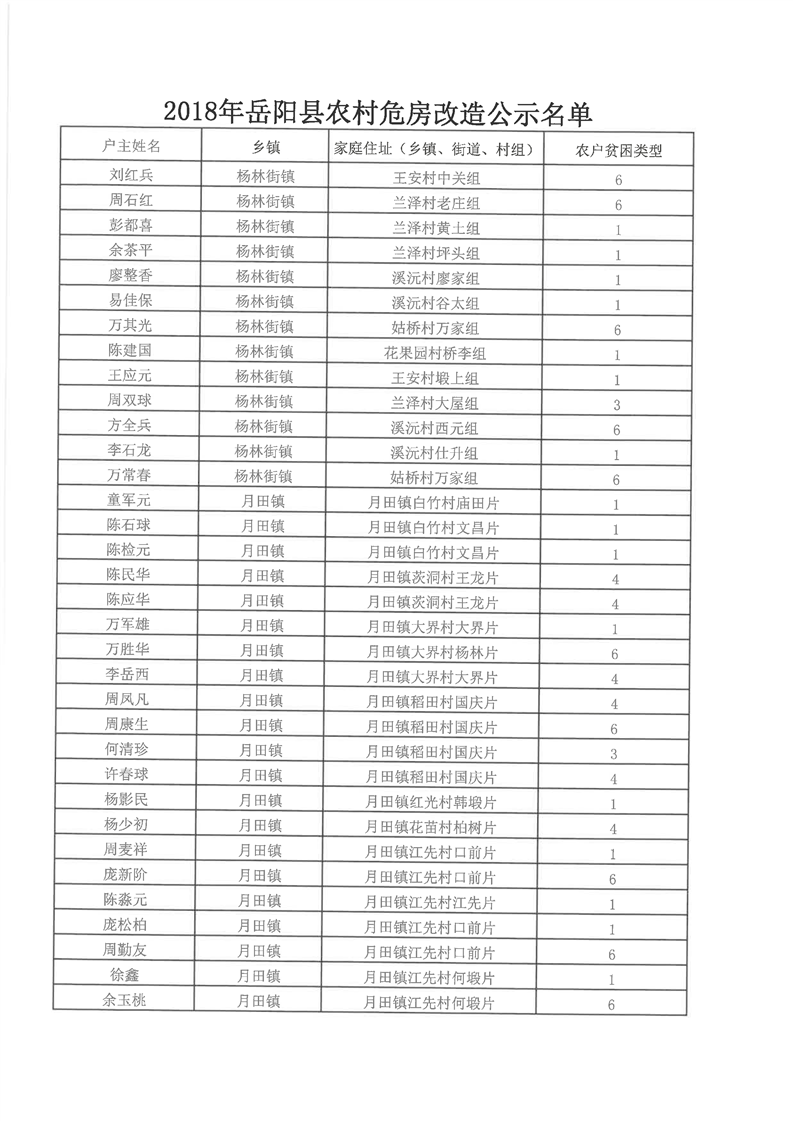
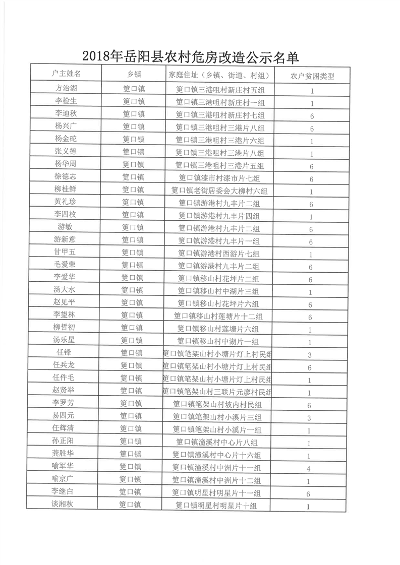
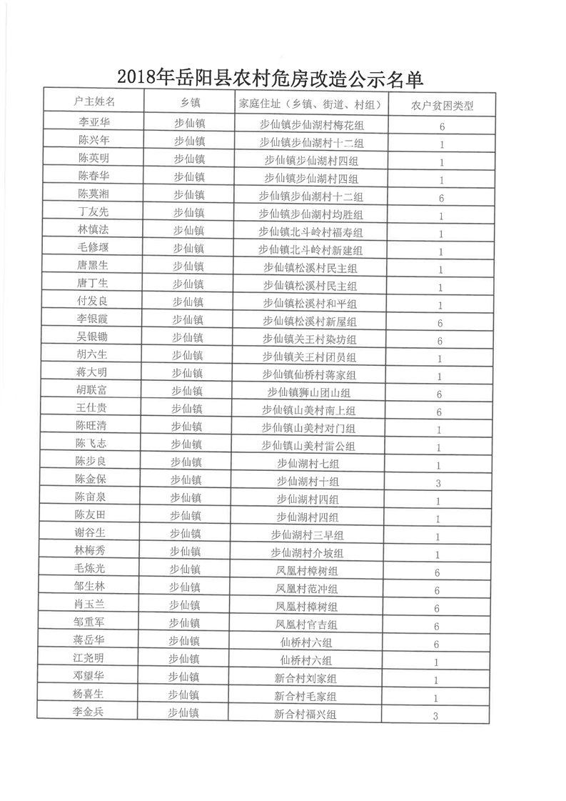
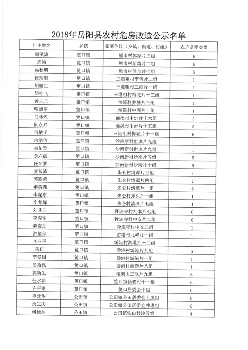
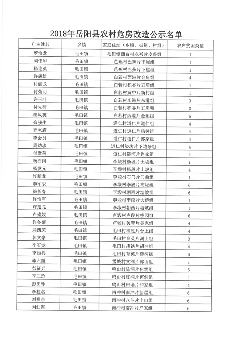
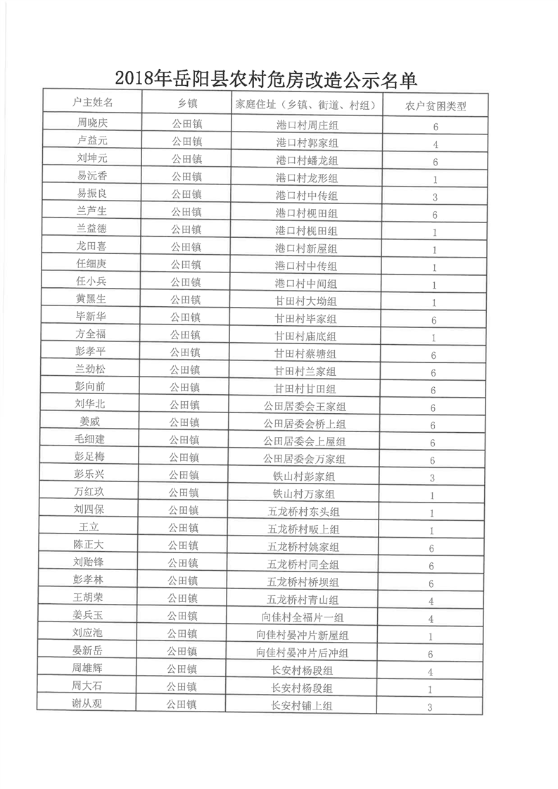
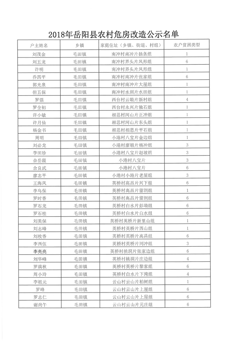
關於對嶽陽縣住房和城鄉建設局承辦2018年重點民生實事農村危房改造完成情況的公示
來源:嶽陽縣住建局
2018-11-23
瀏覽量:
1
|
|
|
|