當前位置:
首頁
>
政務公開
>
公示公告
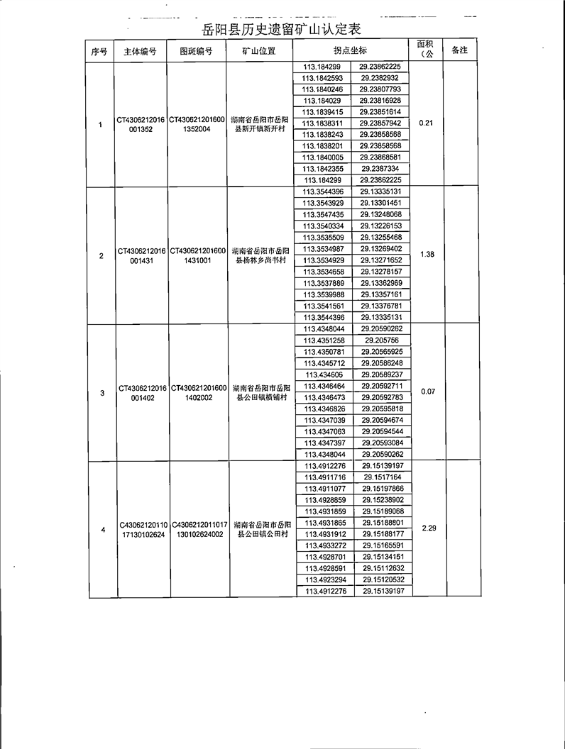
關於嶽陽縣曆史遺留礦山認定的公告(補充認定)
來源:嶽陽縣自然資源局
2022-09-06
瀏覽量:
1
|
|
|
|