當前位置:
首頁
>
政務公開
>
公示公告
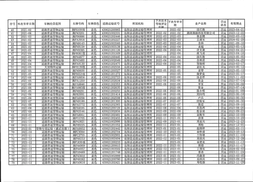
關於注銷湘F49220、湘F49126等79輛營運貨車《道路運輸證》的通告
來源:嶽陽縣交通運輸局
2024-03-01
瀏覽量:
1
|
|
|
|
附件:
一年以上未進行年度審驗且《道路運輸證》有效期已到期擬注銷《道路運輸證》的營運貨車清單(截止2024年3月1日).xls