當前位置:
首頁
>
專題專欄
>
嶽陽縣信用信息發布平台
>
失信曝光
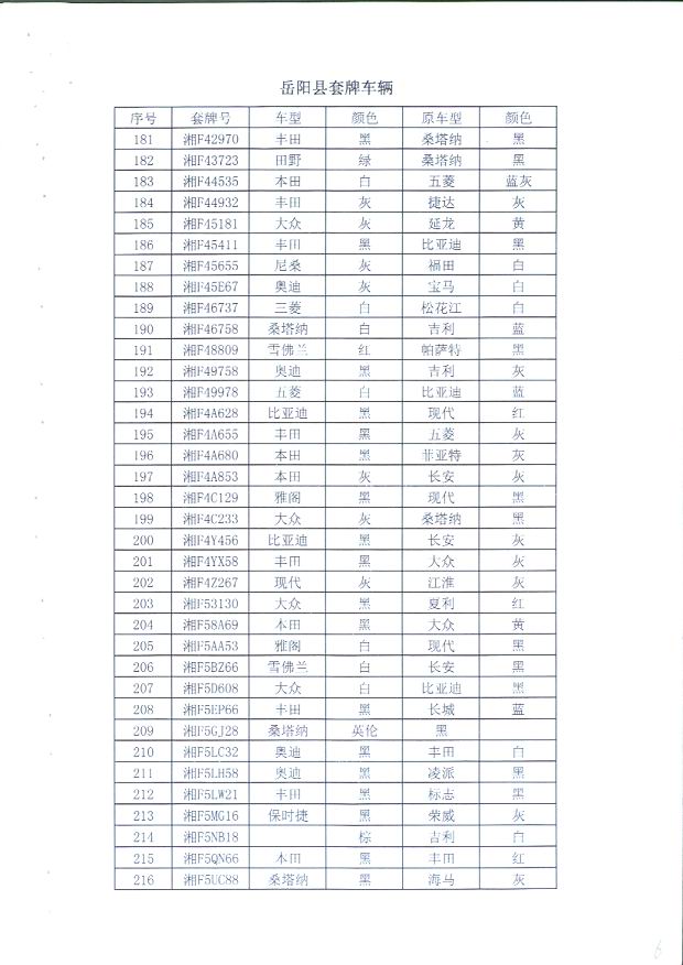
嶽陽縣套牌車輛
來源:嶽陽縣政府網 發布時間:2016-12-22 00:00 瀏覽次數:
1
次