當前位置:
首頁
>
政府信息公開
>
部門信息公開目錄
>
縣直部門信息公開
>
交通係統
>
縣交通運輸局
>
規劃計劃
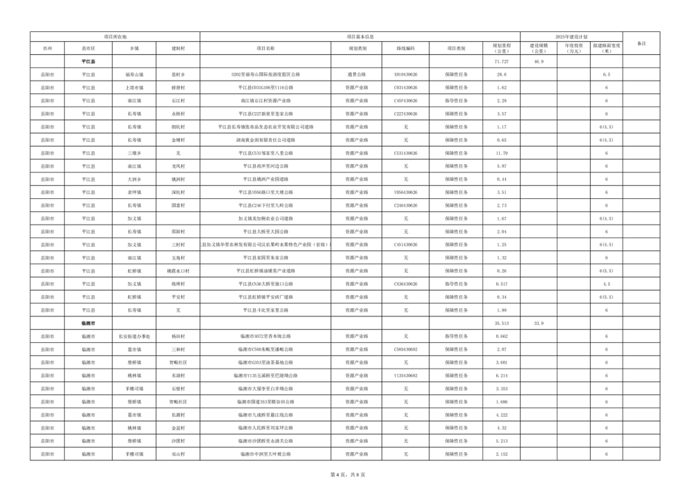
關於下達2025年交通運輸固定資產投資計劃的通知
來源:嶽陽縣交通運輸局
2025-02-27
瀏覽量:
1
|
|
|
|
|
關於下達2025年交通運輸固定資產投資計劃的通知(湘交函〔2025〕47號).pdf